200以上 pso 公式 284878-Pso 公式ブログ
第七章粒子群优化算法 Ppt Download
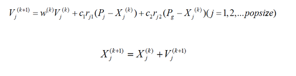
Pso 公式ブログ
Pso 公式ブログ-



Http Dspace Lib Fcu Edu Tw Bitstream 2377 1 Afu 4 2 Pdf



粒子群演算法詳解 趣讀



Phantasy Star Online 2 Comic Rocket To Motavia



粒子群算法pso 基本原理 犀牛的博客



Github Wangxh329 Psoalgorithms This Is My Undergraduate Thesis About High Performance Discrete Particle Swarm Optimization Pso Algorithm And Software Development Of Application On Jssp Problem



Racast Phantasy Star Online Phantasy Star Online 2 Robot Concept Art



改进粒子群优化神经网络的葡萄酒质量识别



描绘游戏里的趣事 Pso煮comi 宣布动画化



Pso2 Station Plus Final Recap Psublog



最优化算法之粒子群算法 Pso 青萍之末的博客 Csdn博客 粒子群算法



Pso2 ニュージェネシス プレイヤーズサイト Sega



Psoギフト Pso 22 公式通販 マルタショップ



代訂 夢幻之星 Pso 2 ぷそ煮コミ 3 附 序號 露天拍賣



Www Jnwpu Org Articles Jnwpu Pdf 18 04 Jnwpu164p709 Pdf



数模06粒子群优化算法 Particle Swarm Optimization Pso Ivanlj的博客 程序员宅基地 程序员宅基地



粒子群算法pso 基本原理 犀牛的博客



Study On The Project Multiple Objectives Coordination



Pso文獻1 Particle Swarm Optimization Pso A Tutorial It 邦幫忙 一起幫忙解決難題 拯救it 人的一天



Http Www Sysengi Com En Article Downloadarticlefile Do Attachtype Pdf Id



Sega Co Ltd Edwin Sponsored Phantasy Star Online th Anniversary Hour Broadcast From 00 00 On Saturday December 26th Japan News



Pso



Optimization Algorithm Of Particle Swarm Optimization Pso Programmer Sought



Pso2 Page 25 Pso2blog



Pso 周年紀念 Pso2エピソード オラクルアークスシップの炎渦 哔哩哔哩 つロ干杯 Bilibili



Http Dspace Lib Fcu Edu Tw Bitstream 2377 1 Afu 4 2 Pdf



Initial D World Discussion Board Forums Phantasy Star Online 2



哈尔滨工程大学学报



基于pso 算法解决tsp 项目 知乎



Phantasy Star Online 2 Hosts Pso2 Day If You Can Actually Play Massively Overpowered



Should You Play Pso2 Like Pso1 Universe Youtube



Phantasy Star Online 2 New Genesis Global Reintroducing The Four Races In Pso2 Ngs Humans Newmans Casts And Deumans Because They No Longer Differ In Stats You Have The



Phantasy Star Online 2 Switch Announced For Japan Will Include Zelda Breath Of The Wild Items Gamespot



Armored Pso2 New Genesis Dolls Enemy Has A Secret Weak Point



Phantasy Star Online 2 Twitch



Pso2 New Genesis Prologue 1 12 19 The Special Program Of Pso2 Ngs Youtube



哈尔滨工程大学学报



基於pso 算法解決tsp 項目 每日頭條



Pso



Pso 2 Phantasy Star Online 2 Episode 5 Materials Collection Otaku Co Uk



粒子群优化算法 Particle Swarm Optimization Xxx已失联 博客园



Phantasy Star Online 2 New Genesis Gets New Screenshots Showing More Enemies



计算智能 Ci 之粒子群优化算法 Pso 一 知乎



第七章粒子群优化算法 Ppt Download



現貨供應中 夢幻之星 Pso 2 ぷそ煮コミ 3 附 下載碼 蝦皮購物



Pso算法特征选择matlab实现 单目标 Omegaxyz



Ppt Recent Advances In Particle Swarm Powerpoint Presentation Free Download Id



智能算法pso的图例分析 豌豆ip代理



Pso2 Ngs Closed Beta Test Guide Ngs Rappy Burst



Ranewm Concept Art Pso2



Phantasy Star Online 2 New Genesis Gets New Screenshots Art Showing Weapons More Enemies



任意时间算法 路径规划 小小博客



Pso World Com Pso2



Particle Swarm Optimization 2 Standard Pso Programmer Sought



Armored Pso2 New Genesis Dolls Enemy Has A Secret Weak Point



Pso2 General Gaming Loverslab



粒子群算法matlab代码 吐血推荐下载 Word模板 爱问共享资料



粒子群优化算法pso及matlab实现 憋错料



ハローワーク 仕事 パート アルバイト検索 Apk Download For Android Latest Version 6 3 5 Info Pso Hellowork1



用于变压器dga故障诊断的改进pso优化svm算法研究 参考网



第七章粒子群优化算法 Ppt Download



基于pso算法的光纤光栅参数重构 附matlab源程序 毕业设计论文网



Pso2 ニュージェネシス 公式番組で気になる世界設定が明らかに 武器を融合するマルチウェポンや新たな拠点 セントラルシティ も



基于pso Lstm的网络安全态势感知预测方



粒子群优化算法 Pso 简介及matlab实现 Yancy的博客 Csdn博客 粒子群优化算法matlab程序



Ppt Recent Advances In Particle Swarm Powerpoint Presentation Free Download Id



基于bp神经网络对汽油辛烷值损失预测模型的构建 Www 366 Net Www366 Net必赢亚洲



标准粒子群优化算法pso 华为云



You Can Play Pso For Free Album On Imgur



粒子群算法 Pso 详解 Xuxinrk的博客 Csdn博客 粒子群pso



You Can Play Pso For Free Album On Imgur



独家 一文读懂优化算法 阿里云开发者社区



Pso算法应用求单变量函数极值 哔哩哔哩



Pso2公式キャラクター名一覧 まかぽっぽ



Http Cea Ceaj Org En Article Downloadarticlefile Do Attachtype Pdf Id 161



Mathematical Modeling Of Python Particle Swarm Optimization Algorithm Programmer Sought



Http Dspace Lib Fcu Edu Tw Bitstream 2377 1 Afu 4 2 Pdf



基于ga和pso算法的反射阵列仿真设计 电子发烧友网



用于变压器dga故障诊断的改进pso优化svm算法研究 参考网



干货粒子群算法particle Swarm Optimization超详细解析 代码实例讲解 知乎



Article Phantasy Star Online 2 Boost Enemies And Concept Art



Phantasy Star Online 2 Camp Ship And Project Cute Psublog



Pso Lssvm算法及其matlab代码 子木呀的博客 程序员宅基地 程序员宅基地



Open Beta Pso2blog



Pso World Com



Http Cea Ceaj Org Cn Article Downloadarticlefile Do Attachtype Pdf Id



智能算法 粒子群算法 Particle Swarm Optimization 超详细解析 入门代码实例讲解 短短的路走走停停 博客园



壁纸下载 梦幻之星在线 Phantasy Star Online Pso Ffsky天幻网专题站 Www Ffsky Cn



基于混合pso Adam神经网络的外协供应商评价决策模型



基于psoc和dp Pso Svm的便携式假肢控制系统



Http Www Jsjkx Com Cn Article Openarticlepdf Jsp Id 7264



干货粒子群算法particle Swarm Optimization超详细解析 代码实例讲解 知乎



Pso2 Pso World Com Concept Art Characters Character Design Phantasy Star Online



Http Www Jsju Org Index Php Journal Article Download 240 239



动态调整惯性权重的粒子群算法优化



Phantasy Star Online 2 New Genesis Global Reintroducing The Four Races In Pso2 Ngs Humans Newmans Casts And Deumans Because They No Longer Differ In Stats You Have The



物理应用 基于matlab粒子群配电网重构 含matlab源码764期 上地信息 Shangdixinxi Com



粒子群算法 Pso Python实现 简书



Uspex 10 2 Manual 粒子群算法 Pso 指令



粒子群优化算法 Pso Myarrow的专栏 Csdn博客 Pso算法原理



Steam Community Video Free 3 Unit Set From Red Boxes In Pso2 Ngs Cbt2 Closed Beta Red Chest Puzzles



Schthack Pso Server Let S Play

コメント
コメントを投稿